テキスト p28〜
ここでは振り子の運動を見てみます。
ひもの先に重りをつるして、ゆらゆら揺らそうというものです。おそらく高校生の物理でも出てきたと思うのですが、今回は運動方程式を立てて考えてみます。
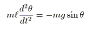
長さ l のひもにぶら下げられた質量 m の質点の運動を式に表わします。 平面内で運動させるようにすると、ひもと鉛直方向のなす角を Θ、 重力加速度を g として、下のように書くことができます。

しかし、この微分方程式を解くのは難しいので、揺れ幅が小さい(微小振動)として近似を使って簡単にします。
sinの近似式 [ sin(x)≒x (x<<1) ]
この近似式を使うと、以下のようになります。

これは、バネの振動(単振動)を表わす式です。近似を使ったので、ゆれが小さいときに有効な式です。
それでは、この二つの式がどのような振舞をするか見てみます。ある角度の状態から手を離した後の動きをそれぞれの式でシミュレーションした結果が下のようです。「Graph」ページが時間を横軸に、揺れを縦軸にとったグラフ、「Simulation」ページでは単振子と単振動の動きを実際に再現しています。各係数は下の表のようになっています。
Harmonic Oscillator:単振動が近似を使った単振動の式、Pendulum:単振子が単振子の式の結果です。揺らす角度が小さいときはほぼ一緒の挙動を示しますが、大きな角度(例えば60°とか)で揺らすと、違いがはっきり現れてきます。いろいろな角度を入力して、この違いを確認しておいてください。
| パラメーター | 説明 |
|---|---|
| init angle(deg) | 初期角度(単位:°) |
| time | 計算させる時間 |