レンズの公式 (Lens Formula)

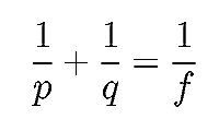
鏡やレンズで結ばれた像ともとの物体の位置,そして焦点距離の間には, レンズの公式(lens formula)と呼ばれる, 非常にシンプルな関係式が成り立ちます.



凹面鏡

物体と凹面鏡の距離 p (>0), 像と凹面鏡の距離 q (>0), そして凹面鏡の焦点距離 f (>0) の間には,

という関係が成り立ちます. 焦点距離 f は 凹面鏡の曲率半径 R の半分です.
像は倒立実像になります.
倍率 m は, mq/p です.

凸面鏡

物体と凸面鏡の距離 p (>0), 像と凸面鏡の距離 q (<0), そして凸面鏡の焦点距離 f (<0) の間には,

という関係が成り立ちます. 像の距離と焦点距離はマイナスで扱います.
像は正立虚像になります.
倍率 m は, mq/p です.

凸レンズ

物体と凸レンズの距離 p (>0), 像と凸レンズの距離 q (>0), そして凸レンズの焦点距離 f (>0) の間には,

という関係が成り立ちます.
像は倒立実像(p>f)あるいは正立虚像(p<f)です.
倍率 m は, mq/p です.

凹レンズ

物体と凹レンズの距離 p (>0), 像と凹レンズの距離 q (<0), そして凹レンズの焦点距離 f (<0) の間には,

という関係が成り立ちます.
像は正立虚像になります.
倍率 m は, mq/p です.


Go to Submenu
Go to Menu